Next-Generation PEGylation for Superior Immune Shielding
The Challenge in PEGylation
Polyethylene glycol (PEG) conjugation remains one of the most widely used strategies to improve the pharmacokinetics of biologics.
- Circulation half-life
- Solubility
- Stability
However, emerging clinical and preclinical data have revealed critical limitations:
- Anti-PEG antibodies are increasingly prevalent
- Accelerated blood clearance (ABC) reduces efficacy
- Immune recognition of PEG–protein junctions contributes to loss of performance
Introducing CanopyPEG
CanopyPEG is a novel polymer architecture designed to address limitations.
Key Innovation: Localized Polymer Canopy
- Concentrates polymer mass at the junction site
- Forms a compact, high-density polymer cloud
- Minimizes exposure of junction epitopes
Mechanism of Action
Steric Shielding
Dense PEG coils create a physical barrier.
Entropic Exclusion
Displacement of PEG chains reduces binding probability.
Hydration Barrier
Hydration shell increases energetic cost of interaction.
Quantitative Advantage
- ~5–10× higher local polymer density
- ~50–80% reduction in accessibility
- Increased resistance to antibody and complement binding
Reduced Immunogenicity
Junction Epitope Shielding
- Masks PEG–protein interface
- Reduces epitope recognition
Improved PEG Presentation
- Shorter PEG arms reduce epitope length
- Decreases B-cell receptor crosslinking
Conclusion
CanopyPEG improves immunological stealth and therapeutic durability.
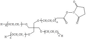
[An Example of CanopyPEG Reagent]
[An Image of CanopyPEG-conjugated Protein]

NEW PEGYLATION